Коллаборация LHCb (CERN, Европейская организация по ядерным исследованиям), в которую входят Институт ядерной физики им. Г. И. Будкера СО РАН (ИЯФ СО РАН) и Новосибирский государственный университет (НГУ), объявила об открытии двух новых возбужденных состояний прелестного бариона, которые, возможно, являются новой частицей Λb (1D) (лямбда-б барион (1D)) или Σb (сигма-б барион).
Для однозначной интерпретации необходимо провести измерение квантовых чисел наблюдаемых частиц, сообщает Институт ядерной физики имени Г. И. Будкера СО PAH.
Результаты были представлены 13 июля 2019 г. на конференции по физике элементарных частиц EPS-HEP (The European Physical Society Conference on High Energy Physics) – одном из главных событий года в физике высоких энергий.
.jpg)
Два новых возбужденных состояния бариона Lambda b. Иллюстрация LHCb
Кварковая модель – часть Стандартной модели, описывающая, как из кварков составляются адроны (мезоны и барионы). Эксперимент LHCb (Large Hadron Collider beauty experiment) на Большом адронном коллайдере (LHC) направлен в том числе на уточнение кварковой модели, что необходимо для получения полной информации о том, из чего состоит Вселенная.
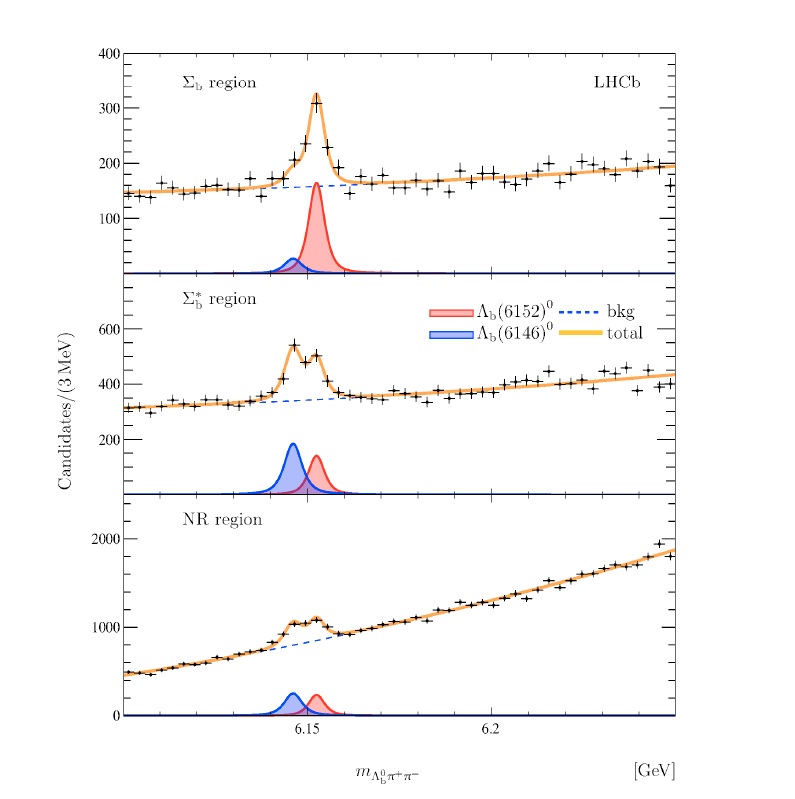
«При обработке данных, набранных на LHC, участники эксперимента LHCb обнаружили два новых возбужденных состояния бариона Λb в анализе конечного состояния Λb и положительно заряженного и отрицательно заряженного пи-мезонов, – рассказывает старший научный сотрудник ИЯФ СО РАН, заведующий кафедрой физико-технической информатики ФФ НГУ, сотрудник коллаборации LHCb, кандидат физико-математических наук Павел Кроковный. – Барион Λb – частица, состоящая из двух легких кварков (u-верхнего и d-нижнего) и тяжелого b-прелестного кварка. Такие возбужденные состояния предсказываются теорией, но раньше их не наблюдали, потому что не было достаточной статистики».
Научный сотрудник Национального центра научных исследований (CNRS) Франции, руководитель группы идентификации частиц LHCb, кандидат физико-математических наук Антон Полуэктов отметил, что кварковая модель сейчас хорошо проработана на фундаментальном уровне. «Мы знаем, какие существуют кварки, каким математическим законам они подчиняются, но, к сожалению, нет математического аппарата, который бы позволил вывести все богатство частиц, состоящих из кварков – их массы, время жизни, разнообразные вероятности распадов. Мы вынуждены применять различные приближенные методы для предсказания таких частиц, и часто они противоречат друг другу. Наблюдательных же данных значительно меньше, чем теоретических предсказаний. Поэтому каждое новое экспериментальное наблюдение нового состояния – это большое событие», – поясняет Антон Полуэктов.
Все обнаруженные когда-либо частицы заносятся в справочник Review of Particle Physics (PDG). Но если мезонных состояний (частиц, состоящих из кварка и анти кварка) известно достаточно много, то барионных – на порядок меньше. Барионные состояния с прелестным кварком изучены еще в меньшей степени – теоретических предсказаний очень мало, и до недавнего времени совсем не было их экспериментальных наблюдений. На данный момент физики измерили массы и время жизни двух новых состояний бариона Λb. Их массы равны 6146 и 6152 МэВ.
«Мезонные состояния проще описываются теорией, потому что они состоят всего из двух объектов (кварк и анти кварк). С тремя кварками, из которых состоят барионы, теоретикам работается сложнее, а экспериментальных данных с прелестными барионами почти нет – количество таких состояний в PDG можно пересчитать по пальцам, – поясняет сотрудник коллаборации LHCb, старший научный сотрудник Института теоретической и экспериментальной физики им. А.И. Алиханова НИЦ «Курчатовский институт», кандидат физико-математических наук Иван Беляев. – Но есть теоретическая модель, разработанная в 1986 г., еще до открытия первого прелестного бариона, которая предсказывает две частицы с очень близкими массами – Λb (1D), где 1D – это орбитальный момент, равный двум. Эта система, предсказанная теоретически, очень похожа на то, что мы наблюдаем в эксперименте. Еще один кандидат – возбужденное состояние прелестного бариона Σb. Для однозначной интерпретации необходимо провести измерение квантовых чисел наблюдаемых в эксперимент частиц – спина, четности и изотопического спина. Мы надеемся, что часть этих измерений может быть проделана в самом ближайшем будущем».
Впрочем, специалисты, основываясь на уже имеющихся измерениях, могут сделать определенные выводы. Например, по словам Антона Полуэктова, данные указывают, что более тяжелая частица из наблюдаемой пары имеет меньший спин, чем более легкая, что довольно необычно. В таблицу частиц (PDG) обнаруженные состояния бариона Λb войдут с параметрами массы и ширины.
«В физике высоких энергий принято верифицировать результаты в независимых экспериментах на других установках, – добавляет Павел Кроковный. – В японском эксперименте Belle II, близком LHCb, на коллайдере SuperKEKB, в котором происходит столкновение электронов и позитронов, прелестные барионы не рождаются, поэтому совсем независимого эксперимента в мире пока не проводится. Но сейчас идет модернизация коллайдера LHC и детектора LHCb, кроме того планируется еще одна модернизация: HL-LHC (High-Luminosity LHC, HL-LHC), которая закончится в 2026 г., это будет практически новый эксперимент, который и верифицируют полученные в 2019 г. результаты».
|